### PONTOS CHAVE
- A hemodiafiltração (HDF) é uma modalidade dialítica cada vez mais utilizada nas últimas décadas.
- Inúmeros estudos retrospectivos sugerem benefício de redução de mortalidade cardiovascular e melhoria na qualidade de vida.
- Quatro grandes estudos randomizados foram realizados para avaliar o benefício do método HDF, porém, apesar de resultados conflitantes, apenas o estudo ESHOL mostrou benefício clínico do método.
- A grande dúvida na literatura existe porque o benefício clínico ocorre principalmente em pacientes com um bom acesso vascular, o que garante atingir uma alta dose de reposição (>23L/sessão).
- Até o momento existia a dúvida: será que o benefício ocorre por conta da HDF ou porque o método seleciona pacientes mais saudáveis e com melhor acesso vascular?
- O estudo CONVINCE foi positivo e demonstrou redução de mortalidade geral nos pacientes tratados com HDF de alta dose quando comparado à HD convencional.
- A grande sacada deste estudo foi a seleção de pacientes com elevada probabilidade de alcançar uma elevada dose convectiva (>23L/sessão), eliminando assim o viés de seleção de pacientes mais saudáveis e com melhor acesso.
- Apesar do benefício da HDF demonstrado pelo estudo, esta é uma modalidade de elevado custo e ainda pouco disponível no Brasil.
- Esperamos outras análises do estudo, como análise de custo-efetividade e melhoria na qualidade de vida.
### POR QUE ESTE ASSUNTO GERA TANTO DEBATE?
A hemodiafiltração (HDF) é uma terapia dialítica que vem ganhando espaço nas últimas décadas. É uma modalidade mais utilizada na Europa e no Japão, e inúmeros estudos retrospectivos sugerem benefícios, como a redução da mortalidade cardiovascular e a melhoria na qualidade de vida associada a essa terapia.
Apesar dos inúmeros benefícios descritos em estudos retrospectivos nos últimos 10 a 20 anos, três grandes estudos randomizados realizados até o momento não evidenciaram benefício em relação à mortalidade: **CONTRAST** **study** ([link](https://journals.lww.com/jasn/pages/articleviewer.aspx?year=2012&issue=06000&article=00019&type=Fulltext)) e **Turkish OL-HDF study** ([link](https://academic.oup.com/ndt/article/28/1/192/1828984?login=false)) e **FRENCHIE study** ([link](https://www.kidney-international.org/article/S0085-2538(17)30040-6/fulltext)).
O estudo **ESHOL** ([link](https://journals.lww.com/jasn/Fulltext/2013/03000/High_Efficiency_Postdilution_Online.19.aspx)) foi o único a apresentar desfecho positivo, evidenciando uma redução de 30% na mortalidade no grupo randomizado para receber HDF quando comparado ao grupo HD. No entanto, esse estudo apresentou importantes limitações metodológicas, pois o grupo randomizado para receber HDF tinha **mais pacientes com fístula** e **menos pacientes diabéticos**, fatores claramente associados a uma maior sobrevida e que podem ter causado viés de seleção.
É interessante notar que, na análise post hoc desses quatro estudos (envolvendo 2.793 pacientes), aqueles pacientes que receberam uma maior dose convectiva, ou seja, um elevado volume de reposição (>23L/sessão), apresentaram uma melhor sobrevida. Surgiram, então, as maiores controvérsias relacionadas ao método: **será que a HDF possui benefício por ser uma terapia superior ou apenas é uma terapia que consegue selecionar pacientes mais saudáveis, com menos comorbidades, menos doenças cardiovasculares e com melhor acesso vascular?**
Foi nesse contexto que o estudo CONVINCE foi desenhado, buscando responder às controvérsias dos estudos anteriores.
## RESUMO DO ESTUDO
**Artigo**: Effect of Hemodiafiltration or Hemodialysis on Mortality in Kidney Failure ([link](https://www.nejm.org/doi/full/10.1056/NEJMoa2304820?query=featured_nephrology))
**Revista**: New England Journal of Medicine, publicado em 16 de Junho de 2023
**Metodologia**
O estudo foi multicêntrico (em 9 países), prospectivo, randomizado (1:1) e aberto, comparou dois grupos de pacientes em terapia de diálise:
- **Grupo HD** (n=677): terapia com HD convencional utilizando dialisador de alto fluxo
- **Grupo HDF**: terapia com HDF utilizando dialisador de alto fluxo e **alto volume convectivo (>23L/sessão)**(n=683)
Pacientes do grupo HFD receberam ajustes de prescrição a cada 2 a 3 semanas para alcançar a elevada dose convectiva alvo.
**Critérios de inclusã****o:** pacientes adultos (>18 anos) em programa de HD há mais de 3 meses e que pudessem tolerar uma elevada dose de HDF (pós-capilar). _Essa etapa foi importante para evitar o viés de seleção dos estudos anteriores, pois somente pacientes com melhor acesso vascular conseguiriam receber essa dose._
**Critérios de exclusão**: pacientes com condições que pudessem interferir no resultado do tratamento, como baixa adesão, expectativa de vida inferior a 3 meses, tratamento HDF nos 3 meses anteriores ou programação para receber transplante renal em menos de 6 meses da randomização.
Foi realizada uma análise de subgrupos pré-especificada para idade, acesso vascular, diurese residual, doença cardiovascular e diabetes tipo 2.
**Objetivo primário: avaliar a mortalidade por todas as causas.**
Objetivos secundários: causas específicas de morte, síndromes coronarianas agudas, insuficiência cardíaca, doença arterial coronariana com angioplastia, acidente vascular cerebral, procedimentos vasculares (carótida e doença arterial obstrutiva periférica), além de hospitalização por infecção ou por qualquer causa.
**Resultados**
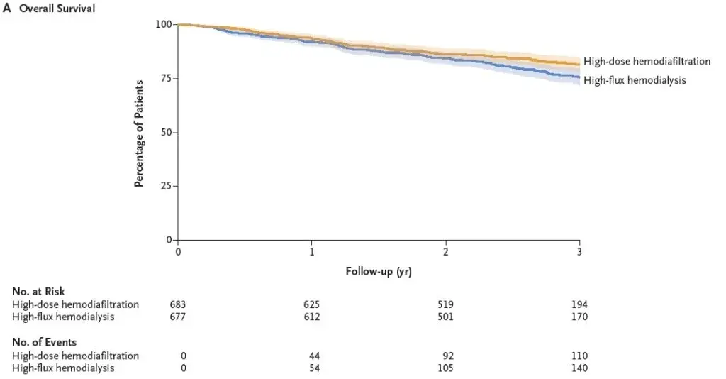
O estudo tentou recrutar 1800 pacientes, mas conseguiu randomizar e analisar 1360 pacientes no período de 2019 a 2021. A população tinha aproximadamente 62 anos, estava em terapia de substituição renal há cerca de 2,5 anos e **mais de 85% possuía fístula arteriovenosa ou prótese** como acesso vascular. A mediana de seguimento foi de 30 meses (27-38 meses).
Conforme esperado, o grupo HDF alcançou o volume de reposição esperado (23,1±1 L por sessão), além de apresentou um maior Kt/V.
**Foi observada uma redução de 23% na mortalidade no grupo tratado com HDF.** O total de mortes foi de 266, sendo 17,3% no grupo HDF (7,13 eventos por 100 pacientes-ano) e 21,9% no grupo HD (9,19 eventos por 100 pacientes-ano), HR 0,77; IC 95%, 0,65-0,93, p=0,005. Das mortes, 25,6% foram por causas cardiovasculares, 9,8% por COVID-19 e 21,1% por outras infecções.
De forma geral, não foram observadas diferenças de mortalidade na análise dos subgrupos pré-especificados. No entanto, nos pacientes do grupo HDF, o risco de morte foi ainda menor nos pacientes **sem histórico de doença cardiovascular** (HR 0,58; IC 95%, 0,42-0,79) e nos pacientes **sem diabetes mellitus** (HR 0,65; IC 95%, 0,48-0,87).
Não foram observadas diferenças nos objetivos secundários analisados, exceto uma aparente redução no risco de morte por COVID-19 no grupo HDF (HR 0,69; IC 95%, 0,49-0,96).

## OPINIÃO NEFROUPDATES
Este estudo era muito aguardado e finalmente comprovou redução do risco de morte em pacientes tratados com HDF de alta dose em comparação com a terapia de HD convencional.
Apesar dos inúmeros estudos realizados até o momento, a maioria dos resultados positivos com redução da mortalidade geral e cardiovascular eram baseados em análises _post hoc_, portanto, era necessário um estudo com maior rigor científico como este para embasar a recomendação da terapia.
Apesar da animação com o resultado positivo deste estudo (e devemos comemorar), não podemos esquecer que infelizmente essa é uma terapia com custos elevados (mais de duas vezes o valor da HD convencional), pois requer o uso de dialisador descartável e água ultrapura, sendo pouco disponível no Brasil.
Certamente esperamos que, nas próximas décadas, essa modalidade se dissemine e que ocorra uma redução nos custos. No entanto, é essencial que entendamos a realidade do Brasil, onde a grande maioria das clínicas de diálise é **financiada pelo SUS**, onde o reuso de materiais e a falta de acesso a água ultrapura são comuns.
Não necessariamente esta modalidade deverá ser oferecida a todos os pacientes com indicação de TRS, devemos selecionar os pacientes que mais terão benefício come esta modalidade. Estes são informações que teremos com reanálises agrupadas destes estudos.
Devemos prestar atenção a um ponto essencial: para indicar a modalidade HDF para um paciente em TRS, precisamos garantir que ele possua um acesso vascular adequado. O CONVINCE _trial_ demonstrou benefício para o grupo HDF de **alta dose (>23L/sessão)**, mas se essa dose não for alcançada (subdose), correremos o risco de não reduzir a mortalidade e aumentar os gastos com saúde.